258 ôtô dính phạt nguội nửa đầu tháng 6 trên Quốc lộ 1 qua Bình Thuận

17/06 17:00
 

Bình Thuận - Qua camera giao thông đã phát hiện 258 ôtô vi phạm tốc độ, vượt đèn đỏ bị phạt nguội trên Quốc lộ 1 từ cuối tháng 5...

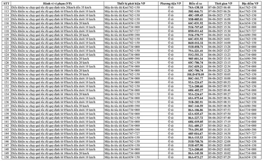
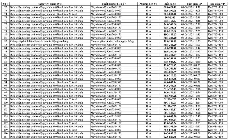
Bình Thuận - Qua camera giao thông đã phát hiện 258 ôtô vi phạm tốc độ, vượt đèn đỏ bị phạt nguội trên Quốc lộ 1 từ cuối tháng 5 đến giữa tháng 6.

Ngày 17.6, Phòng CSGT Công an tỉnh Bình Thuận cho biết, từ ngày 31.5 đến 14.6.2025, qua Hệ thống giám sát - xử lý vi phạm trật tự, an toàn giao thông trên tuyến Quốc lộ 1 qua tỉnh Bình Thuận đã ghi nhận, phát hiện 258 phương tiện vi phạm tốc độ, không chấp hành đèn tín hiệu giao thông.

Trong thời hạn 10 ngày kể từ ngày vi phạm, Phòng CSGT gửi thông báo đến chủ phương tiện vi phạm, tổ chức, cá nhân có liên quan đến vi phạm hành chính được biết và phối hợp thực hiện giải quyết theo quy định.

Phòng CSGT yêu cầu chủ phương tiện, tổ chức, cá nhân có liên quan đến vi phạm hành chính, đến các điểm tiếp dân của Phòng CSGT Công an tỉnh Bình Thuận hoặc trụ sở Phòng CSGT Công an tỉnh - nơi chủ phương tiện vi phạm cư trú để giải quyết vụ việc.

Quá thời hạn 20 ngày, kể từ ngày gửi thông báo vi phạm, chủ phương tiện, tổ chức, cá nhân có liên quan đến vi phạm hành chính không đến giải quyết hoặc Phòng CSGT Công an tỉnh Bình Thuận chưa nhận được thông báo kết quả giải quyết, xử lý vụ việc của Phòng CSGT Công an tỉnh - nơi chủ phương tiện vi phạm cư trú, sẽ tiến hành gửi thông báo cảnh báo phương tiện giao thông vi phạm cho cơ quan đăng kiểm.

Đọc bài gốc tại đây.